Упр.9.1 ГДЗ Мордкович 7 класс (Алгебра)
Решение #1

Рассмотрим вариант решения задания из учебника Мордкович, Александрова 7 класс, Мнемозина:
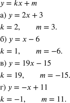
Назовите коэффициенты линейной функции у = kx + m:
а) у = 2x + 3;
б) у = х - 6;
в) у = 19x - 15;
г) у = -х + 11.
*размещая тексты в комментариях ниже, вы автоматически соглашаетесь с пользовательским соглашением