Упр.5.22 ГДЗ Мордкович Семенов 7 класс (Алгебра)
Решение #1

Рассмотрим вариант решения задания из учебника Мордкович, Семенов, Александрова 7 класс, Бином:
5.22. При каких значениях параметра р уравнение не имеет корней:
а) (р - 3)х = 3;
б) р(р + 1)x = -2;
в) 3x — 2(х — 3) = р^2 — 4;
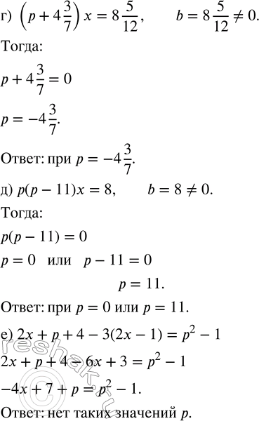
г) (p + 4 3/7)x = 8 5/12;
д) р(р - 11)x = 8;
е) 2х + р + 4 - 3(2х - 1) = р^2 - 1?
*размещая тексты в комментариях ниже, вы автоматически соглашаетесь с пользовательским соглашением