Упр.33.3 ГДЗ Мордкович Семенов 7 класс (Алгебра)
Решение #1

Рассмотрим вариант решения задания из учебника Мордкович, Семенов, Александрова 7 класс, Бином:
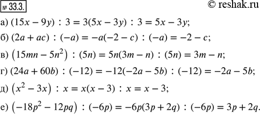
33.3. Выполните деление многочлена на одночлен:
а) (15x - 9y) : 3; г) (24a + 60b) : (-12);
б) (2a + ac) : (-a); д) (x^2 - 3x) : x;
в) (15mn - 5n^2) : (5n); е) (-18p^2 - 12pq) : (-6p).
*размещая тексты в комментариях ниже, вы автоматически соглашаетесь с пользовательским соглашением