Упр.31.11 ГДЗ Мордкович Семенов 7 класс (Алгебра)
Решение #1

Рассмотрим вариант решения задания из учебника Мордкович, Семенов, Александрова 7 класс, Бином:
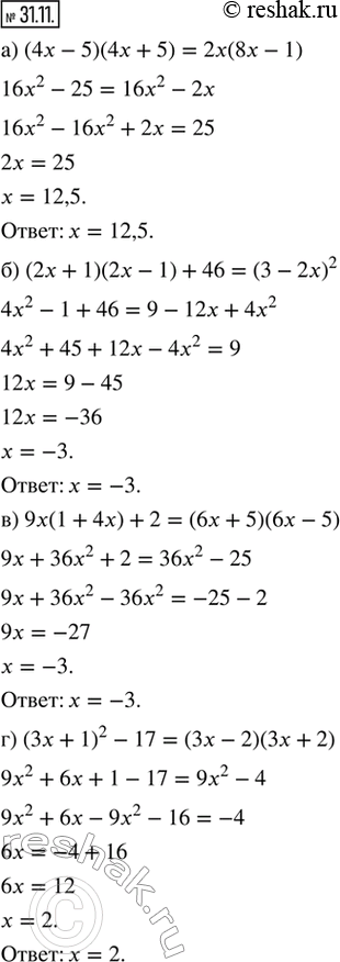
31.11. Решите уравнение:
а) (4x - 5)(4x + 5) = 2x(8x - 1);
б) (2х + 1)(2x - 1) + 46 = (3 - 2x)^2;
в) 9х(1 + 4х) + 2 = (6х + 5)(6x - 5);
г) (3x + 1)^2 - 17 = (3x - 2)(3x + 2).
*размещая тексты в комментариях ниже, вы автоматически соглашаетесь с пользовательским соглашением