Упр.30.1 ГДЗ Мордкович Семенов 7 класс (Алгебра)
Решение #1

Рассмотрим вариант решения задания из учебника Мордкович, Семенов, Александрова 7 класс, Бином:
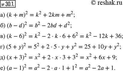
30.1. Преобразуйте квадрат двучлена в многочлен:
а) (k + m)^2; в) (k - 6)^2; д) (x + 3)^2;
б) (b - d)^2; г) (5 + y)^2; е) (a - 1)^2.
*размещая тексты в комментариях ниже, вы автоматически соглашаетесь с пользовательским соглашением