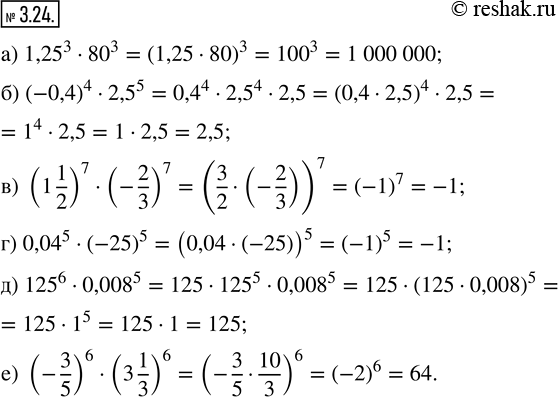
Упр.3.24 ГДЗ Мордкович Семенов 7 класс (Алгебра)
Решение #1

Рассмотрим вариант решения задания из учебника Мордкович, Семенов, Александрова 7 класс, Бином:
3.24. Найдите значение выражения рациональным способом.
а) (1,25)^3 · (80)^3;
б) (-0,4)^4 · (2,5)^5;
в) (1 1/2)^7 · (-2/3)^7;
г) (0,04)^5 · (-25)^5;
д) (125)^6 · (0,008)^5;
е) (-3/5)^6 · (3 1/3)^6.
*размещая тексты в комментариях ниже, вы автоматически соглашаетесь с пользовательским соглашением