Упр.29.2 ГДЗ Мордкович Семенов 7 класс (Алгебра)
Решение #1

Рассмотрим вариант решения задания из учебника Мордкович, Семенов, Александрова 7 класс, Бином:
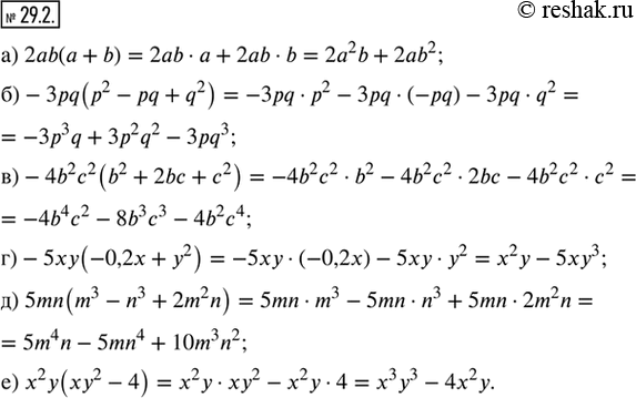
29.2. Выполните умножение одночлена на многочлен:
а) 2ab(a + b); г) —5xy(—0,2х + у^2);
б) -3pq(p^2 - pq + q^2); д) 5mn(m^3 — n^3 + 2m^2 n);
в) -4b^2 c^2 (b^2 + 2bc + с^2); е) х^2 у(ху^2 - 4).
*размещая тексты в комментариях ниже, вы автоматически соглашаетесь с пользовательским соглашением