Упр.24.13 ГДЗ Мордкович Семенов 7 класс (Алгебра)
Решение #1

Рассмотрим вариант решения задания из учебника Мордкович, Семенов, Александрова 7 класс, Бином:
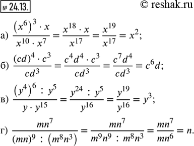
24.13. Упростите выражение:
а) ((x^6)^3 · x)/(x^10 · x^7); в) ((y^4)^6 : y^5)/(y · y^15);
б) ((cd)^4 · c^3)/(cd^3); г) (mn^7)/((mn)^9 : (m^8 n^3)).
*размещая тексты в комментариях ниже, вы автоматически соглашаетесь с пользовательским соглашением