Упр.18.13 ГДЗ Мордкович Семенов 7 класс (Алгебра)
Решение #1

Рассмотрим вариант решения задания из учебника Мордкович, Семенов, Александрова 7 класс, Бином:
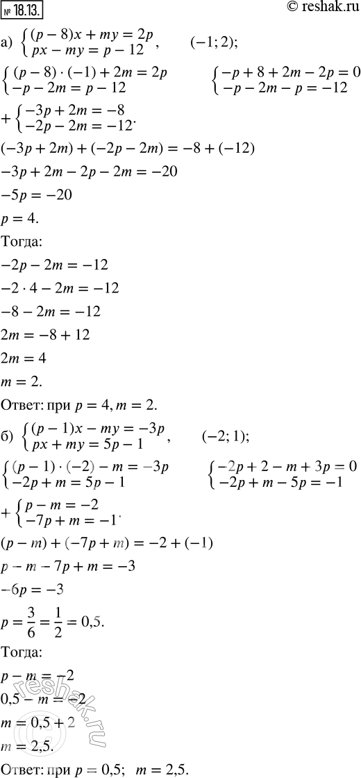
18.13. а) При каких значениях параметров р и m пара чисел (-1; 2) является решением системы уравнений {(p - 8)x + my = 2p; px - my = p - 12}?
б) При каких значениях параметров р и m пара чисел (-2; 1) является решением системы уравнений {(p - 1)x - my = -3p; px + my = 5p - 1}?
*размещая тексты в комментариях ниже, вы автоматически соглашаетесь с пользовательским соглашением