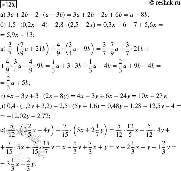
Упр.1.25 ГДЗ Мордкович Семенов 7 класс (Алгебра)
Решение #1

Рассмотрим вариант решения задания из учебника Мордкович, Семенов, Александрова 7 класс, Бином:
1.25. Упростите выражение.
а) 3a + 2b - 2 · (a - 3b);
б) 1,5 · (0,2x - 4) - 2,8 · (2,5 - 2x);
в) 3/7 · (7/9 a + 21b) + 4/9 · (3/4 a - 9b);
г) 4x - 3y + 3 · (2x - 8y);
д) 0,4 · (1,2y + 3,2) - 2,5 · (5y + 1,6);
е) 5/12 · (2 2/5 x - 4y) + 7/15 · (5x + 2 1/7 y).
*размещая тексты в комментариях ниже, вы автоматически соглашаетесь с пользовательским соглашением